Projects MakingStuff Research Reference
Good SciFi and Fantasy How to Meditate Simple guide to growing mushrooms Grand Conspiracy Theories My debate style Zen FAQ Zen Center of Georgia Home
      



        


Organic Synthesis

NamedReactions


     Up One
        
AcetoAcetic Ester Condensation    
condensation nucleophilic acyl substitution
Src: esters
Prod: β-ketoesters
        
Acetoacetic Ester Synthesis    
C-, nucleophilic substitution
Src: Acetoacetic ester
Prod: Ketone
        
Acyloin Condensation    
condensation, nucleophilic acyl substitution
Src: esters
Prod: α-hydroxyketone
        
Aldol Condensation, acid catalysed    
condensation E1
Src: aldehyde/ketone
Prod: beta unsaturated ketone
        
Aldol Condensation, base catalysed    
condensation E1
Src: aldehyde/ketone
Prod: beta unsaturated ketone
        
Buchwald-Hartwig Amination    
Pd catalysed condensation
Src: amine+aryl_halide
Prod: amine
        
Claisen Condensation    
condensation nucleophilic acyl substitution
Src: esters
Prod: β-ketoesters
        
Clemmensen Reduction    
Red
Src: ketone
Prod: alkane
        
Curtius Rearrangement    
Src: acyl azide
Prod: 1° amine
        
Dess-Martin Oxidation    
Oxidation E2
Src: alcohol
Prod: aldehyde or ketone
        
Diels-Alder Cyclization    
pericyclic, concerted
Src: alkene/diene
Prod: cyclic alkene
        
Fischer Esterification    
condensation
Src: alcohol/carboxylic acid
Prod: ester
        
Freidel Crafts reaction    
substitution
Src: aromatic
Prod: acylated aromatic
        
Freidel Crafts reaction    
substitution
Src: aromatic
Prod: alkylated aromatic
        
Gabriel Synthesis    
SN2 Condensation
Src: Phthalimide+halide
Prod: 1° amine
        
Gilman Reaction    
SN2
Src: AlkylCuLi/halide
Prod: alkane
        
Goldberg Reaction    
Cu catalysed condensation
Src: amine+aryl_halide
Prod: amine/amide
        
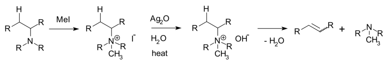
Hofmann Elimination    
E2
Src: amine
Prod: alkene
        
Hofmann Rearrangement    
Src: amide
Prod: 1° amine
        
Malonic Ester Synthesis    
C-, nucleophilic substitution
Src: Malonic ester
Prod: carboxylic acid
        
Pfitzner Moffatt Oxidation    
Oxidation
Src: alcohol
Prod: aldehyde or ketone
        
Swern Oxidation    
Oxidation
Src: alcohol
Prod: aldehyde or ketone
        
Williamson Ether Synthesis    
SN2 condensation
Src: alcohol/halide
Prod: ether
        
Wittig Reaction    
2+2 cycloaddition
Src: carbonyl
Prod: alkene
        
Wolff-Kishner Reduction    
Red
Src: ketone
Prod: alkane