Projects MakingStuff Research Reference
Good SciFi and Fantasy How to Meditate Simple guide to growing mushrooms Grand Conspiracy Theories My debate style Zen FAQ Zen Center of Georgia Home
      



        


Organic Synthesis

NamedReactions



Up One

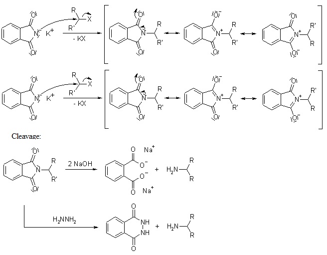
Mechanism: GabrielSynthesis




Phthalimide is treated with a KOH/H2O, then mixed with an alkyl or aryl halide. Then is treated with NaOH to hydrolyse the phthalimide condensation product to the 1° amine and 2-(Carboxycarbonyl)benzoic acid. This has a strong advantage over the standard alkyl condensation with ammonia or an amine in that it is self-limiting to a primary amine, given the phthalimide is no longer a nucleophile after the condensation.