Projects MakingStuff Research Reference
Good SciFi and Fantasy How to Meditate Simple guide to growing mushrooms Grand Conspiracy Theories My debate style Zen FAQ Zen Center of Georgia Home
      



        


Organic Synthesis

NamedReactions



Up One

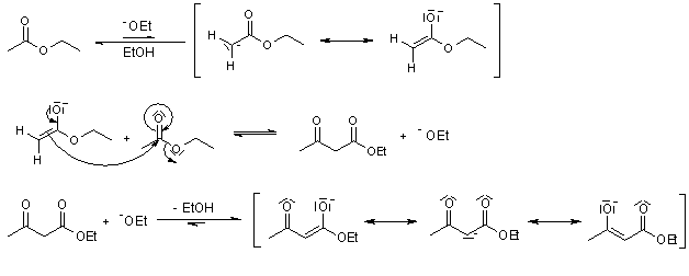
Mechanism: ClaisenCondensation




The Claisen Condensation between esters containing α-hydrogens, promoted by a base such as sodium ethoxide, affords β-ketoesters. The driving force is the formation of the stabilized anion of the β-keto ester. If two different esters are used, an essentially statistical mixture of all four products is generally obtained, and the preparation does not have high synthetic utility.

However, if one of the ester partners has enolizable a-hydrogens and the other does not (e.g., aromatic esters or carbonates), the mixed reaction (or crossed Claisen) can be synthetically useful. If ketones or nitriles are used as the donor in this condensation reaction, a β-diketone or a β-ketonitrile is obtained, respectively.

The use of stronger bases, e.g. sodium amide or sodium hydride instead of sodium ethoxide, often increases the yield. The intramolecular version is known as Dieckmann Condensation.