Projects MakingStuff Research Reference
Good SciFi and Fantasy How to Meditate Simple guide to growing mushrooms Grand Conspiracy Theories My debate style Zen FAQ Zen Center of Georgia Home
      



        


Organic Synthesis

NamedReactions



Up One

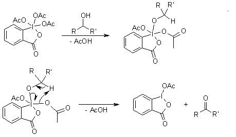
Mechanism: DessMartinOxidation




The Dess-Martin Periodinane (DMP), a hypervalent iodine compound, offers selective and very mild oxidation of alcohols to aldehydes or ketones.


The oxidation is performed in dichloromethane or chloroform at room temperature, and is usually complete within 0.5 - 2 hours. Products are easily separated from the iodo-compound byproduct after basic work-up.


The Dess-Martin oxidation may be preferable to other oxidation reactions as it is very mild, avoids the use of toxic chromium reagents, does not require large excess or co-oxidants, and for its ease of work up.