Projects MakingStuff Research Reference
Good SciFi and Fantasy How to Meditate Simple guide to growing mushrooms Grand Conspiracy Theories My debate style Zen FAQ Zen Center of Georgia Home
      



        


Organic Synthesis

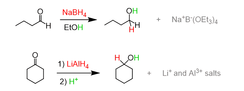
Reductions


     Up One
        
    Nucleophilic addition Prod: amine+H2O         
    Nucleophilic substitution and reduction Prod: 1° amine+N2         
    reduction E2 Prod: alcohol         
    Red Prod: alkane         
    Nucleophilic addition Prod: amine         
    Nucleophilic addition Prod: 1° amine         
    Red Prod: alkane