Projects MakingStuff Research Reference
Good SciFi and Fantasy How to Meditate Simple guide to growing mushrooms Grand Conspiracy Theories My debate style Zen FAQ Zen Center of Georgia Home
      



        


Organic Synthesis

Oxidations


     Up One
        
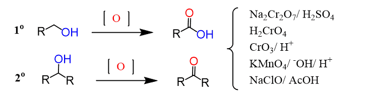
    Oxidation E2 Prod: ketone/carboxylic acid         
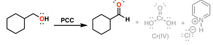
    Oxidation E2 Prod: aldehyde/ketone         
    Prod: aldehyde/ketone         
    Oxidation E2 Prod: aldehyde or ketone         
    cleavage oxidation Prod: ketones/carboxylic         
    Oxidation Prod: aldehyde or ketone         
    Oxidation Prod: aldehyde or ketone